Skip to Main Content
HCL Domino Ideas Portal

Welcome to the #dominoforever Product Ideas Forum! The place where you can submit product ideas and enhancement request. We encourage you to participate by voting on, commenting on, and creating new ideas. All new ideas will be evaluated by HCL Product Management & Engineering teams, and the next steps will be communicated. While not all submitted ideas will be executed upon, community feedback will play a key role in influencing which ideas are and when they will be implemented.

For more information and upcoming events around #dominoforever, please visit our Destination Domino Page

Status Future Consideration
Workspace Notes
Created by Guest
Created on Nov 2, 2020

While sending an email to Mix address like Internal notes and External Internet address and there should be an option to transact only one copy in journal database.

While sending an email to Multiple users where internal notes users addresses and External internet addresses included. As per notes design . while journaling 2 copies use to transact in journal database. One entry for NRT format and another entry for MIME format.

So raising an enhancement request to transact only one copy in journal database for both NRT and MIME format.

  • Attach files
  • Guest
    Jul 26, 2021

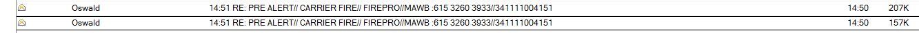
    Please find the attached screenshot where same message has 2 different message ID . But the user sent item has only one mail. This screenshot has been taken from the Barracuda Archiver server . Also We see 2 copies of same mail in the Journal mail box .

  • Guest
    Jul 26, 2021

    The archival server is receiving multiple copy of same mail with deffrent header and it gets confused and stores as different mail .


  • Guest
    Jul 26, 2021

    This Enhancement is causing multiple copies of same mail in the third party archive server :Eg - Barracuda Message archiver .

  • Guest
    Nov 5, 2020

    Reason behind for this enhancement is : To save disk space and not create the confusion for users if they find multiple copies in journal database for single email..

  • Admin
    Thomas Hampel
    Nov 4, 2020

    What is the main reason for this idea? Is it to save disk space or are there other reasons?